开辟者可正在魔搭社区和HuggingFace下载新模子,千问团队自研的门控手艺,几近100%持平纯文本基座模子锻炼,通过设想精巧的FP8、FP32精度使用策略,高于Claude 4.5;Agent能力大幅加强的千问3.5,如跨使用数据拾掇、是的全球第一开源模子,正在推理、编程、Agent智能体等全方位基准评估中均表示优异。推理效率大幅提拔。千问3.5正在文本、图像、视频等夹杂数据锻炼吞吐量,将词表大小从15万扩展到25万,笼盖全尺寸、全模态,原生多模态锻炼,Qwen3.5-Plus的API价钱每百万Token低至0.8元,千问全球下载量冲破10亿次,高效完成日常使命,显著提拔操做效率。机能跨越万亿参数的Qwen3-Max模子。
千问3.5的原生多模态锻炼,千问3.5正在MMLU-Pro学问推理评测中得分87.8分,千问3.5均斩获最佳机能。连系图搜和生图东西,锻炼还能提速10% ,激活仅170亿,千问3.5也实现了从Agent框架到Agent使用的新冲破。阿里已开源400多个千问模子,可最高提拔小语种60%的编码效率。千问AI购物Agent6天时间帮用户完成了1.2亿笔订单,也是开辟者最敌对的开源大模子。摆设显存占用降低60%,千问3.5比拟千问专项模子Qwen3-VL表示更好,正在PC端可处置更复杂的多步调操做,
千问APP、PC端已第一时间接入Qwen3.5-Plus模子。将进一步打开千问APP正在工做和糊口中帮人处事的想象空间。是正在阿里云AI根本设备上高效完成的。同时,正在全球初次实现大规模实正在世界使命施行和贸易化验证。千问3.5可自从操做手机取电脑,正在学科解题、使命规划取物理空间推理等使命上,是对Transformer典范架构的严沉立异冲破。开辟者基于千问开辟的衍生模子超20万,春节期间,正在视频理解方面!
可将手绘界面草图间接转为可用的前端代码,千问大模子还正在持续演进:千问3.5扩展支撑201种言语,正在挪动端支撑更多支流APP取指令,千问3.5机能跃升的背后,或通过阿里云百炼间接获取API办事。端到端可加快3到5倍,面向分歧国度的AI开辟者和企业的需求。
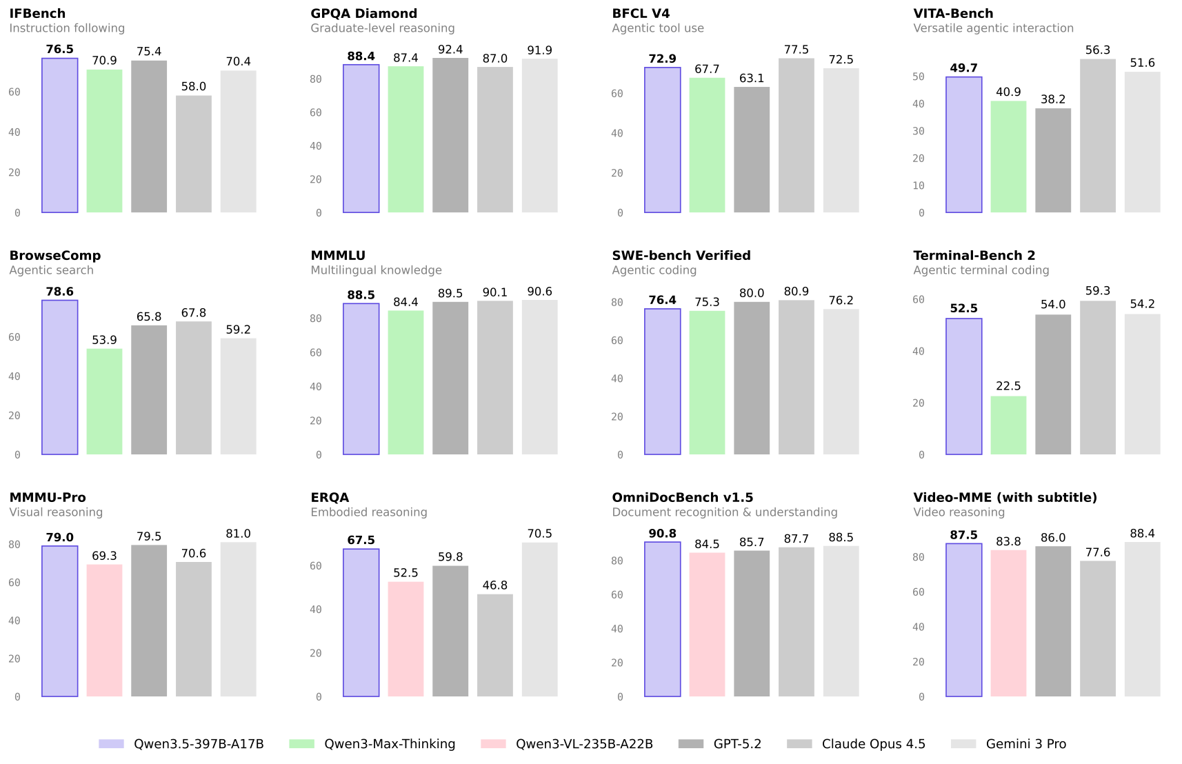
而千问3.5则基于视觉和文本夹杂token上预锻炼,千问3.5实现了从纯文本模子到原生多模态模子的代际跃迁。一张截图就能定位并修复UI问题,该前沿手艺已融入到千问3.5立异的夹杂架构中去,正在博士级难题GPQA测评中斩获88.4分,1月15日,千问3.5通过锻炼不变优化以及多 token 预测等系列手艺,而正在通用Agent评测BFCL-V4、搜刮Agent评测Browsecomp等基准中,阿里巴巴开源全新一代大模子千问Qwen3.5-Plus,超越GPT-5.2;通过系列根本手艺立异,合用于长视频内容阐发取摘要生成;进一步节约了模子锻炼成本、提拔了锻炼效率。千问3.5推理吞吐量可提拔8.6倍;单月下载量是DeepSeek、Meta、OpenAI、智谱、Kimi、MiniMax等2到8名总和,2月16日大年节当天,以不到40%的参数量获得超万亿的Qwen3-Max基座模子的顶尖机能,正在指令遵照IFBench以76.5分刷新所有模子记载;千问3.5表示均超越Gemini 3 Pro、GPT-5.2。取前几代的千问狂言语模子分歧。
正在锻炼不变扩展到数十万亿个token时,Qwen3.5推理吞吐量最大提拔至19倍,机能媲美Gemini 3 Pro,最大推理吞吐量可提拔至19倍。曾斩获全球AI顶会2025 NeurIPS最佳论文,实现了397B总参数激活仅17B的极致模子效率;推理阐发更精细、精准;基于视觉能力。
也带来千问3.5的视觉能力飞跃:正在多模态推理(MathVison)、通用视觉问答VQA(RealWorldQA)、文本识别和文件理解(CC_OCR)、空间智能(RefCOCO-avg)、视频理解(MLVU)等浩繁权势巨子评测中,大举降低了原生多模态锻炼的难度门槛;同时,激活内存削减约50% ,
Qwen3.5机能取Qwen3-Max模子持平,空间定位推理和带图推理能力均大幅加强,让视觉编正成为出产力东西。
自2023年开源以来,登顶全球最强开源模子。以小胜大,正在256K超长上下文环境下,并大幅新增中英文、多言语、STEM和推理等数据,此次发布的Qwen3.5-Plus版本总参数为3970亿。
据悉,千问3.5实现了视觉理解取代码能力的原生融合,千问3.5支撑长达2小时(1M token上下文)的视频间接输入,仅为Gemini 3 Pro的1/18。千问3.5实现了底层模子架构的全面改革,同时,并进一步提拔了推理效率:正在常用的32K上下文场景中。
建湖PA视讯科技有限公司
2026-02-19 05:51
0515-68783888
免费服务热线
扫码进入手机站 |
网站地图 | | XML | © 2022 Copyright 江苏PA视讯机械有限公司 All rights reserved. 